172款客车车型上榜!新一批“免征购置税新能源车型目录”发布
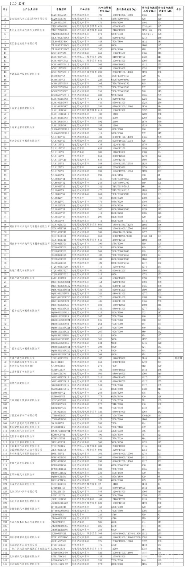
2019年8月30日,工业和信息化部、国家税务总局发布第二十六批《免征车辆购置税的新能源汽车车型目录》,《目录》包括405款车型,其中客车172款(纯电动145款+插电式混合动力17款+燃料电池10款)。撤销《免征车辆购置税的新能源汽车车型目录》的车型名单(324款)同期发布。

以下为公告详情:
工业和信息化部
国家税务总局
公 告
2019年 第32号
根据《财政部 国家税务总局 工业和信息化部 科技部关于免征新能源汽车车辆购置税的公告》(2017年第172号)、《中华人民共和国工业和信息化部 财政部 国家税务总局公告》(2018年第17号)的要求,工业和信息化部会同国家税务总局等部门对企业提交的申请进入《免征车辆购置税的新能源汽车车型目录》的材料和对列入《免征车辆购置税的新能源汽车车型目录》后12个月内无产量或进口量的车型进行了审查。现将《免征车辆购置税的新能源汽车车型目录》(第二十六批)、汽车生产企业名称变更名单、撤销《免征车辆购置税的新能源汽车车型目录》的车型名单予以公告。
附件: 1.免征车辆购置税的新能源汽车车型目录(第二十六批)
2.汽车生产企业名称变更名单
3.撤销《免征车辆购置税的新能源汽车车型目录》的车型名单
工业和信息化部
国家税务总局2019年8月30日
附件1:





附件2:

附件3:




1、凡本网注明“来源:www.mnpgideationbank.com” 的所有作品,版权均属于完美作业网有免费视频,未经本网授权,任何单位及个人不得转载、摘编或以其它方式使用上述作品。已经本网授权使用作品的,应在授权范围内使用,并注明“来源:www.mnpgideationbank.com”。违反上述声明者,本网将追究其相关法律责任。
2、凡本网注明 “来源:XXX(非完美作业网有免费视频)” 的作品,均转载自其它媒体,转载目的在于传递更多信息,并不代表本网赞同其观点和对其真实性负责。
3、如因作品内容、版权和其它问题需要同本网联系的,请在30日内进行。
※ 有关作品版权事宜请联系:copyright#chinabuses.com
- 每辆补贴4.2-8万元!新能源城市公交及动力电池更新补贴标准出台[09-26]
- 交通运输部:全力做好2024年中秋国庆假期交通运输服务保障[09-13]
- 12城入围!交通部印发2024年城市公交优先发展和绿色出行典型案例[09-13]
- 交通运输部修订印发《汽车客运站安全生产规范》[09-12]
- 六部门组织开展2024年绿色出行宣传月和公交出行宣传周活动[09-06]
- 工信部等八部门:做好老旧新能源城市公交车辆动力电池更换工作[08-21]
- 行业观察|国务院审议通过《城市公共交通条例》将为行业带来哪些利好?[08-20]
- 政策解读|交通部印发《农村客货邮运营服务指南(试行)》的通知[08-16]